NCERT Solutions Class 10 Maths Chapter 2 – CBSE Free PDF Download
NCERT Solutions Class 10 Maths Chapter 2 Polynomials are provided here to help the students in learning efficiently for their exams. The subject experts of Maths have prepared these solutions to help students prepare well for their board exams. They have solved these solutions in such a way that it becomes easier for students to practise the questions of Chapter 2 Polynomials using the Solutions of NCERT. This makes it simple for the students to learn by adding step-wise explanations to these Maths NCERT Class 10 Solutions.
Download Exclusively Curated Chapter Notes for Class 10 Maths Chapter – 2 Polynomials
Download Most Important Questions for Class 10 Maths Chapter – 2 Polynomials
NCERT Solutions for Class 10 Maths is an extremely important study resource for students. Solving these Polynomials NCERT Solutions of Class 10 Maths would help the students fetch good marks in the board exams. Moreover, experts have focused on following the updated CBSE Syllabus for 2023-24 while preparing these solutions.
Download PDF of NCERT Solutions for Class 10 Maths Chapter 2 – Polynomials
Access Answers to NCERT Class 10 Maths Chapter 2 – Polynomials
Exercise 2.1 Page: 28
1. The graphs of y = p(x) are given in Fig. 2.10 below, for some polynomials p(x). Find the number of zeroes of p(x), in each case.

Solutions:
Graphical method to find zeroes:-
Total number of zeroes in any polynomial equation = total number of times the curve intersects x-axis.
(i) In the given graph, the number of zeroes of p(x) is 0 because the graph is parallel to x-axis does not cut it at any point.
(ii) In the given graph, the number of zeroes of p(x) is 1 because the graph intersects the x-axis at only one point.
(iii) In the given graph, the number of zeroes of p(x) is 3 because the graph intersects the x-axis at any three points.
(iv) In the given graph, the number of zeroes of p(x) is 2 because the graph intersects the x-axis at two points.
(v) In the given graph, the number of zeroes of p(x) is 4 because the graph intersects the x-axis at four points.
(vi) In the given graph, the number of zeroes of p(x) is 3 because the graph intersects the x-axis at three points.
Exercise 2.2 Page: 33
1. Find the zeroes of the following quadratic polynomials and verify the relationship between the zeroes and the coefficients.
Solutions:
(i) x2–2x –8
⇒x2– 4x+2x–8 = x(x–4)+2(x–4) = (x-4)(x+2)
Therefore, zeroes of polynomial equation x2–2x–8 are (4, -2)
Sum of zeroes = 4–2 = 2 = -(-2)/1 = -(Coefficient of x)/(Coefficient of x2)
Product of zeroes = 4×(-2) = -8 =-(8)/1 = (Constant term)/(Coefficient of x2)
(ii) 4s2–4s+1
⇒4s2–2s–2s+1 = 2s(2s–1)–1(2s-1) = (2s–1)(2s–1)
Therefore, zeroes of polynomial equation 4s2–4s+1 are (1/2, 1/2)
Sum of zeroes = (½)+(1/2) = 1 = -(-4)/4 = -(Coefficient of s)/(Coefficient of s2)
Product of zeros = (1/2)×(1/2) = 1/4 = (Constant term)/(Coefficient of s2 )
(iii) 6x2–3–7x
⇒6x2–7x–3 = 6x2 – 9x + 2x – 3 = 3x(2x – 3) +1(2x – 3) = (3x+1)(2x-3)
Therefore, zeroes of polynomial equation 6x2–3–7x are (-1/3, 3/2)
Sum of zeroes = -(1/3)+(3/2) = (7/6) = -(Coefficient of x)/(Coefficient of x2)
Product of zeroes = -(1/3)×(3/2) = -(3/6) = (Constant term) /(Coefficient of x2 )
(iv) 4u2+8u
⇒ 4u(u+2)
Therefore, zeroes of polynomial equation 4u2 + 8u are (0, -2).
Sum of zeroes = 0+(-2) = -2 = -(8/4) = = -(Coefficient of u)/(Coefficient of u2)
Product of zeroes = 0×-2 = 0 = 0/4 = (Constant term)/(Coefficient of u2 )
(v) t2–15
⇒ t2 = 15 or t = ±√15
Therefore, zeroes of polynomial equation t2 –15 are (√15, -√15)
Sum of zeroes =√15+(-√15) = 0= -(0/1)= -(Coefficient of t) / (Coefficient of t2)
Product of zeroes = √15×(-√15) = -15 = -15/1 = (Constant term) / (Coefficient of t2 )
(vi) 3x2–x–4
⇒ 3x2–4x+3x–4 = x(3x-4)+1(3x-4) = (3x – 4)(x + 1)
Therefore, zeroes of polynomial equation3x2 – x – 4 are (4/3, -1)
Sum of zeroes = (4/3)+(-1) = (1/3)= -(-1/3) = -(Coefficient of x) / (Coefficient of x2)
Product of zeroes=(4/3)×(-1) = (-4/3) = (Constant term) /(Coefficient of x2 )
2. Find a quadratic polynomial each with the given numbers as the sum and product of its zeroes, respectively.
(i) 1/4 , -1
Solution:
From the formulas of sum and product of zeroes, we know,
Sum of zeroes = α+β
Product of zeroes = α β
Sum of zeroes = α+β = 1/4
Product of zeroes = α β = -1
∴ If α and β are zeroes of any quadratic polynomial, then the quadratic polynomial equation can be written directly as:-
x2–(α+β)x +αβ = 0
x2–(1/4)x +(-1) = 0
4x2–x-4 = 0
Thus, 4x2–x–4 is the quadratic polynomial.
(ii)√2, 1/3
Solution:
Sum of zeroes = α + β =√2
Product of zeroes = α β = 1/3
∴ If α and β are zeroes of any quadratic polynomial, then the quadratic polynomial equation can be written directly as:-
x2–(α+β)x +αβ = 0
x2 –(√2)x + (1/3) = 0
3x2-3√2x+1 = 0
Thus, 3x2-3√2x+1 is the quadratic polynomial.
(iii) 0, √5
Solution:
Given,
Sum of zeroes = α+β = 0
Product of zeroes = α β = √5
∴ If α and β are zeroes of any quadratic polynomial, then the quadratic polynomial equation can be written directly
as:-
x2–(α+β)x +αβ = 0
x2–(0)x +√5= 0
Thus, x2+√5 is the quadratic polynomial.
(iv) 1, 1
Solution:
Given,
Sum of zeroes = α+β = 1
Product of zeroes = α β = 1
∴ If α and β are zeroes of any quadratic polynomial, then the quadratic polynomial equation can be written directly as:-
x2–(α+β)x +αβ = 0
x2–x+1 = 0
Thus, x2–x+1 is the quadratic polynomial.
(v) -1/4, 1/4
Solution:
Given,
Sum of zeroes = α+β = -1/4
Product of zeroes = α β = 1/4
∴ If α and β are zeroes of any quadratic polynomial, then the quadratic polynomial equation can be written directly as:-
x2–(α+β)x +αβ = 0
x2–(-1/4)x +(1/4) = 0
4x2+x+1 = 0
Thus, 4x2+x+1 is the quadratic polynomial.
(vi) 4, 1
Solution:
Given,
Sum of zeroes = α+β =4
Product of zeroes = αβ = 1
∴ If α and β are zeroes of any quadratic polynomial, then the quadratic polynomial equation can be written directly as:-
x2–(α+β)x+αβ = 0
x2–4x+1 = 0
Thus, x2–4x+1 is the quadratic polynomial.
Exercise 2.3 Page: 36
1. Divide the polynomial p(x) by the polynomial g(x) and find the quotient and remainder in each of the following:
(i) p(x) = x3-3x2+5x–3 , g(x) = x2–2
Solution:
Given,
Dividend = p(x) = x3-3x2+5x–3
Divisor = g(x) = x2– 2

Therefore, upon division we get,
Quotient = x–3
Remainder = 7x–9
(ii) p(x) = x4-3x2+4x+5 , g(x) = x2+1-x
Solution:
Given,
Dividend = p(x) = x4 – 3x2 + 4x +5
Divisor = g(x) = x2 +1-x

Therefore, upon division we get,
Quotient = x2 + x–3
Remainder = 8
(iii) p(x) =x4–5x+6, g(x) = 2–x2
Solution:
Given,
Dividend = p(x) =x4 – 5x + 6 = x4 +0x2–5x+6
Divisor = g(x) = 2–x2 = –x2+2

Therefore, upon division we get,
Quotient = -x2-2
Remainder = -5x + 10
2. Check whether the first polynomial is a factor of the second polynomial by dividing the second polynomial by the first polynomial:
(i) t2-3, 2t4 +3t3-2t2-9t-12
Solutions:
Given,
First polynomial = t2-3
Second polynomial = 2t4 +3t3-2t2 -9t-12

As we can see, the remainder is left as 0. Therefore, we say that, t2-3 is a factor of 2t4 +3t3-2t2 -9t-12.
(ii)x2+3x+1 , 3x4+5x3-7x2+2x+2
Solutions:
Given,
First polynomial = x2+3x+1
Second polynomial = 3x4+5x3-7x2+2x+2

As we can see, the remainder is left as 0. Therefore, we say that, x2 + 3x + 1 is a factor of 3x4+5x3-7x2+2x+2.
(iii) x3-3x+1, x5-4x3+x2+3x+1
Solutions:
Given,
First polynomial = x3-3x+1
Second polynomial = x5-4x3+x2+3x+1

As we can see, the remainder is not equal to 0. Therefore, we say that, x3-3x+1 is not a factor of x5-4x3+x2+3x+1 .
3. Obtain all other zeroes of 3x4+6x3-2x2-10x-5, if two of its zeroes are √(5/3) and – √(5/3).
Solutions:
Since this is a polynomial equation of degree 4, hence there will be total 4 roots.
√(5/3) and – √(5/3) are zeroes of polynomial f(x).
∴ (x –√(5/3)) (x+√(5/3) = x2-(5/3) = 0
(3x2−5)=0, is a factor of given polynomial f(x).
Now, when we will divide f(x) by (3x2−5) the quotient obtained will also be a factor of f(x) and the remainder will be 0.

Therefore, 3x4 +6x3 −2x2 −10x–5 = (3x2 –5)(x2+2x+1)
Now, on further factorizing (x2+2x+1) we get,
x2+2x+1Â = x2+x+x+1 = 0
x(x+1)+1(x+1) = 0
(x+1)(x+1) = 0
So, its zeroes are given by: x= −1 and x = −1.
Therefore, all four zeroes of given polynomial equation are:
√(5/3),- √(5/3) , −1 and −1.
Hence, is the answer.
4. On dividing x3-3x2+x+2 by a polynomial g(x), the quotient and remainder were x–2 and –2x+4, respectively. Find g(x).
Solution:
Given,
Dividend, p(x) = x3-3x2+x+2
Quotient = x-2
Remainder = –2x+4
We have to find the value of Divisor, g(x) =?
As we know,
Dividend = Divisor × Quotient + Remainder
∴ x3-3x2+x+2 = g(x)×(x-2) + (-2x+4)
x3-3x2+x+2-(-2x+4) = g(x)×(x-2)
Therefore, g(x) × (x-2) = x3-3x2+3x-2
Now, for finding g(x) we will divide x3-3x2+3x-2 with (x-2)

Therefore, g(x) = (x2–x+1)
5. Give examples of polynomials p(x), g(x), q(x) and r(x), which satisfy the division algorithm and
(i) deg p(x) = deg q(x)
(ii) deg q(x) = deg r(x)
(iii) deg r(x) = 0
Solutions:
According to the division algorithm, dividend p(x) and divisor g(x) are two polynomials, where g(x)≠0. Then we can find the value of quotient q(x) and remainder r(x), with the help of below given formula;
Dividend = Divisor × Quotient + Remainder
∴ p(x) = g(x)×q(x)+r(x)
Where r(x) = 0 or degree of r(x)< degree of g(x).
Now let us proof the three given cases as per division algorithm by taking examples for each.
(i) deg p(x) = deg q(x)
Degree of dividend is equal to degree of quotient, only when the divisor is a constant term.
Let us take an example, p(x) = 3x2+3x+3 is a polynomial to be divided by g(x) = 3.
So, (3x2+3x+3)/3 = x2+x+1 = q(x)
Thus, you can see, the degree of quotient q(x) = 2, which also equal to the degree of dividend p(x).
Hence, division algorithm is satisfied here.
(ii) deg q(x) = deg r(x)
Let us take an example, p(x) = x2Â + 3 is a polynomial to be divided by g(x) = x – 1.
So, x2 + 3 = (x – 1)×(x) + (x + 3)
Hence, quotient q(x) = x
Also, remainder r(x) = x + 3
Thus, you can see, the degree of quotient q(x) = 1, which is also equal to the degree of remainder r(x).
Hence, division algorithm is satisfied here.
(iii) deg r(x) = 0
The degree of remainder is 0 only when the remainder left after division algorithm is constant.
Let us take an example, p(x) = x2Â + 1 is a polynomial to be divided by g(x) = x.
So, x2 + 1 = (x)×(x) + 1
Hence, quotient q(x) = x
And, remainder r(x) = 1
Clearly, the degree of remainder here is 0.
Hence, division algorithm is satisfied here.
Exercise 2.4 Page: 36
1. Verify that the numbers given alongside of the cubic polynomials below are their zeroes. Also verify the relationship between the zeroes and the coefficients in each case:
(i) 2x3+x2-5x+2; -1/2, 1, -2
Solution:
Given, p(x) = 2x3+x2-5x+2
And zeroes for p(x) are = 1/2, 1, -2
∴ p(1/2) = 2(1/2)3+(1/2)2-5(1/2)+2 = (1/4)+(1/4)-(5/2)+2 = 0
p(1) = 2(1)3+(1)2-5(1)+2 = 0
p(-2) = 2(-2)3+(-2)2-5(-2)+2 = 0
Hence, proved 1/2, 1, -2 are the zeroes of 2x3+x2-5x+2.
Now, comparing the given polynomial with general expression, we get;
∴ ax3+bx2+cx+d = 2x3+x2-5x+2
a=2, b=1, c= -5 and d = 2
As we know, if α, β, γ are the zeroes of the cubic polynomial ax3+bx2+cx+d , then;
α +β+γ = –b/a
αβ+βγ+γα = c/a
α βγ = – d/a.
Therefore, putting the values of zeroes of the polynomial,
α+β+γ = ½+1+(-2) = -1/2 = –b/a
αβ+βγ+γα = (1/2×1)+(1 ×-2)+(-2×1/2) = -5/2 = c/a
α β γ = ½×1×(-2) = -2/2 = -d/a
Hence, the relationship between the zeroes and the coefficients are satisfied.
(ii) x3-4x2+5x-2 ;2, 1, 1
Solution:
Given, p(x) = x3-4x2+5x-2
And zeroes for p(x) are 2,1,1.
∴ p(2)= 23-4(2)2+5(2)-2 = 0
p(1) = 13-(4×12 )+(5×1)-2 = 0
Hence proved, 2, 1, 1 are the zeroes of x3-4x2+5x-2
Now, comparing the given polynomial with general expression, we get;
∴ ax3+bx2+cx+d = x3-4x2+5x-2
a = 1, b = -4, c = 5 and d = -2
As we know, if α, β, γ are the zeroes of the cubic polynomial ax3+bx2+cx+d , then;
α + β + γ = –b/a
αβ + βγ + γα = c/a
α β γ = – d/a.
Therefore, putting the values of zeroes of the polynomial,
α +β+γ = 2+1+1 = 4 = -(-4)/1 = –b/a
αβ+βγ+γα = 2×1+1×1+1×2 = 5 = 5/1= c/a
αβγ = 2×1×1 = 2 = -(-2)/1 = -d/a
Hence, the relationship between the zeroes and the coefficients are satisfied.
2. Find a cubic polynomial with the sum, sum of the product of its zeroes taken two at a time, and the product of its zeroes as 2, –7, –14 respectively.
Solution:
Let us consider the cubic polynomial is ax3+bx2+cx+d and the values of the zeroes of the polynomials be α, β, γ.
As per the given question,
α+β+γ = -b/a = 2/1
αβ +βγ+γα = c/a = -7/1
α βγ = -d/a = -14/1
Thus, from above three expressions we get the values of coefficient of polynomial.
a = 1, b = -2, c = -7, d = 14
Hence, the cubic polynomial is x3-2x2-7x+14
3. If the zeroes of the polynomial x3-3x2+x+1 are a – b, a, a + b, find a and b.
Solution:
We are given with the polynomial here,
p(x) = x3-3x2+x+1
And zeroes are given as a – b, a, a + b
Now, comparing the given polynomial with general expression, we get;
∴px3+qx2+rx+s = x3-3x2+x+1
p = 1, q = -3, r = 1 and s = 1
Sum of zeroes = a – b + a + a + b
-q/p = 3a
Putting the values q and p.
-(-3)/1 = 3a
a=1
Thus, the zeroes are 1-b, 1, 1+b.
Now, product of zeroes = 1(1-b)(1+b)
-s/p = 1-b2
-1/1 = 1-b2
b2 = 1+1 = 2
b = ±√2
Hence,1-√2, 1 ,1+√2 are the zeroes of x3-3x2+x+1.
4. If two zeroes of the polynomial x4-6x3-26x2+138x-35 are 2 ±√3, find other zeroes.
Solution:
Since this is a polynomial equation of degree 4, hence there will be total 4 roots.
Let f(x) = x4-6x3-26x2+138x-35
Since 2 +√3 and 2-√3 are zeroes of given polynomial f(x).
∴ [x−(2+√3)] [x−(2-√3)] = 0
(x−2−√3)(x−2+√3) = 0
On multiplying the above equation we get,
x2-4x+1, this is a factor of a given polynomial f(x).
Now, if we will divide f(x) by g(x), the quotient will also be a factor of f(x) and the remainder will be 0.

So, x4-6x3-26x2+138x-35 = (x2-4x+1)(x2 –2x−35)
Now, on further factorizing (x2–2x−35) we get,
x2–(7−5)x −35 = x2– 7x+5x+35 = 0
x(x −7)+5(x−7) = 0
(x+5)(x−7) = 0
So, its zeroes are given by:
x= −5 and x = 7.
Therefore, all four zeroes of given polynomial equation are: 2+√3 , 2-√3, −5 and 7.
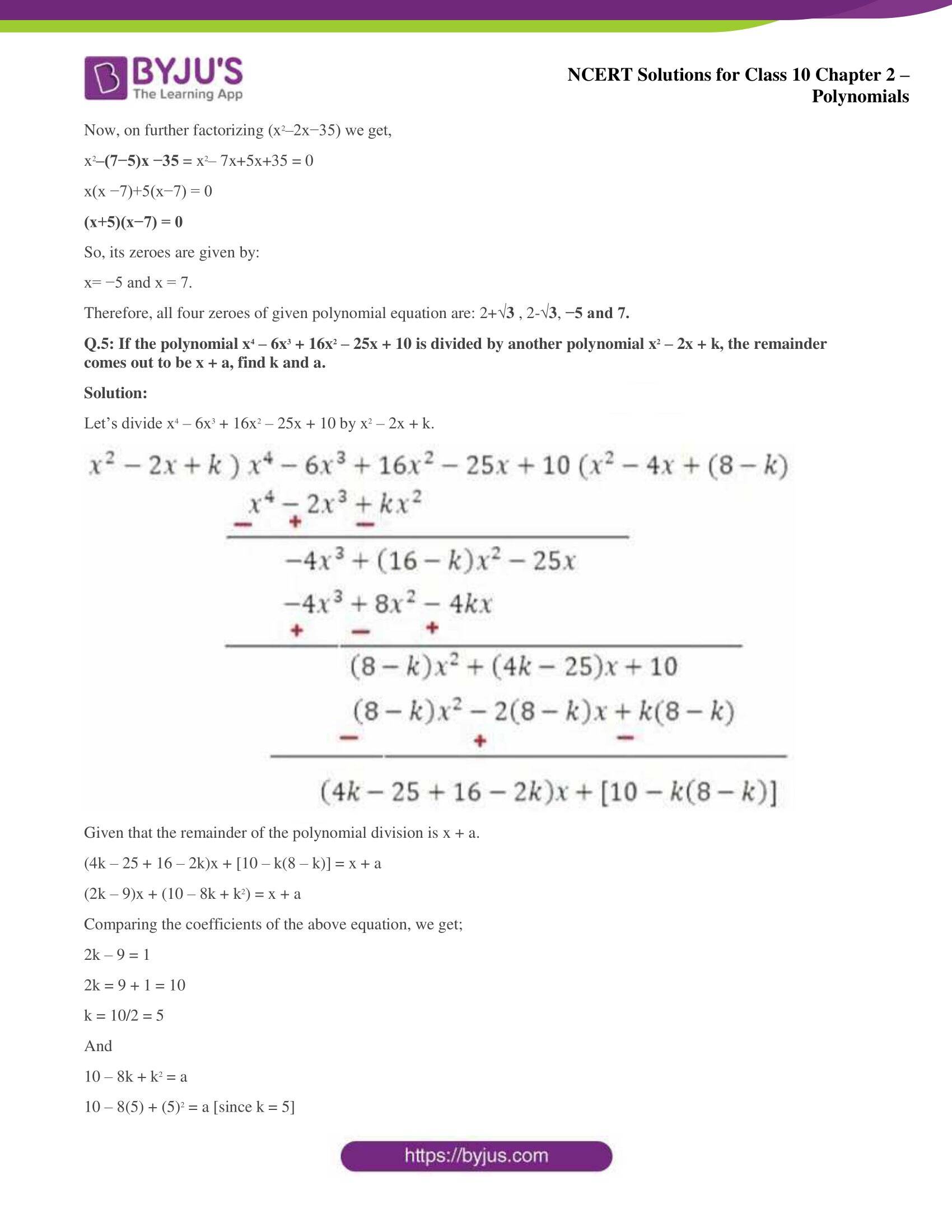
Q.5: If the polynomial x4 – 6x3 + 16x2 – 25x + 10 is divided by another polynomial x2 – 2x + k, the remainder comes out to be x + a, find k and a.
Solution:
Let’s divide x4 – 6x3 + 16x2 – 25x + 10 by x2 – 2x + k.

Given that the remainder of the polynomial division is x + a.
(4k – 25 + 16 – 2k)x + [10 – k(8 – k)] = x + a
(2k – 9)x + (10 – 8k + k2) = x + a
Comparing the coefficients of the above equation, we get;
2k – 9 = 1
2k = 9 + 1 = 10
k = 10/2 = 5
And
10 – 8k + k2 = a
10 – 8(5) + (5)2 = a [since k = 5]
10 – 40 + 25 = a
a = -5
Therefore, k = 5 and a = -5.
| Also Access |
| NCERT Exemplar for Class 10 Maths Chapter 2 |
| CBSE Notes for Class 10 Maths Chapter 2 |
NCERT Solutions for Class 10 Maths Chapter 2 – Polynomials
As this is one of the important topics in Maths, it comes under the unit – Algebra which has a weightage of 20 marks in the Class 10 Maths CBSE exams. The average number of questions asked from this chapter is usually 1. This chapter talks about the following,
- Introduction to Polynomials
- Geometrical Meaning of the Zeros of Polynomial
- Relationship between Zeros and Coefficients of a Polynomial
- Division Algorithm for Polynomials
Polynomials are introduced in Class 9, where we discussed polynomials in one variable and their degrees in the previous class. This is discussed in further detail in Class 10. The NCERT Solutions for Class 10 Maths for this chapter discusses the answers to various types of questions related to polynomials and their applications. We study the division algorithm for polynomials of integers, and also whether the zeroes of quadratic polynomials are related to their coefficients.
The chapter starts with the introduction of polynomials in section 2.1, followed by two very important topics in sections 2.2 and 2.3
- Geometrical Meaning of the zeroes of a Polynomial – It includes 1 question having 6 different cases.
- Relationship between Zeroes and Coefficients of a Polynomial – Explore the relationship between zeroes and coefficients of a quadratic polynomial through solutions to 2 problems in Exercise 2.2, having 6 parts in each question.
Next, it discusses the following topics, which were introduced in Class 9.
- Division Algorithm for Polynomials – In this, the solutions for 5 problems in Exercise 2.3 is given, having three long questions.
Key Features of NCERT Solutions for Class 10 Maths Chapter 2 – Polynomials
- It covers the CBSE syllabus for 2023-24 of Class 10 Maths.
- After studying these NCERT Solutions prepared by our subject experts, you will be confident of scoring well in the exams.
- It follows NCERT guidelines which help in preparing the students accordingly.
- It contains all the important questions from the examination point of view.
For a strong grip over the concepts, students can also make use of the other reference materials which are present at BYJU’S.
Disclaimer –Â
Dropped Topics –Â 2.4 Division algorithm for polynomials
















bijus help us good